The Boost converter operation is explained here.
3. Boost Converter Analysis
The analysis of any converter involves in deriving the circuit output and input relation in terms of voltage and current equations, inductance and capacitance equations, and maximum stress across each component in circuit for its selection.
- Output -Input Voltage/Current Relations
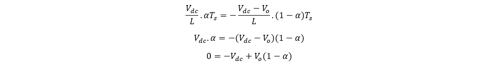
The rate of change of current through inductor in both modes i.e. charge and discharge are equal and opposite
Therefore,


Inductor follows the volt-sec (voltage*time) balance principle i.e. average voltage across an inductor for one full cycle in steady state is zero.
Therefore,

Power balance,

2. Inductance and Capacitance Equations
Inductor
From switch turn-on period, the ramp change in inductor current

From switch turn-off period, the ramp change in inductor current

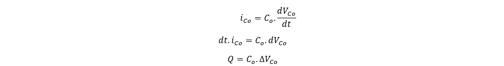
Capacitor

the current through capacitor in ON condition is,

Q = charger = area of capacitor current in a half cycle
From capacitor current waveform (rectangle shape),

The minimum capacitor value that requires can be calculated using above equation.
3. Ratings
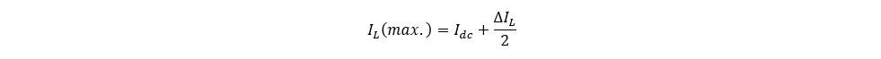
Inductor
Average current through inductor,

Maximum current through inductor,

Minimum current through inductor,

Switch
Average switch current,

Maximum input/switch current,

Maximum voltage across switch,

Diode
Average current through diode,

Maximum current through diode,

Maximum voltage across diode,

Capacitor
Average voltage across capacitor,

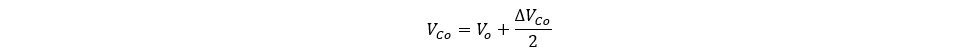
Maximum voltage across capacitor,

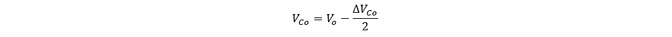
Minimum voltage across capacitor,

Maximum/minimum current through capacitor,

4. Boost Converter Design

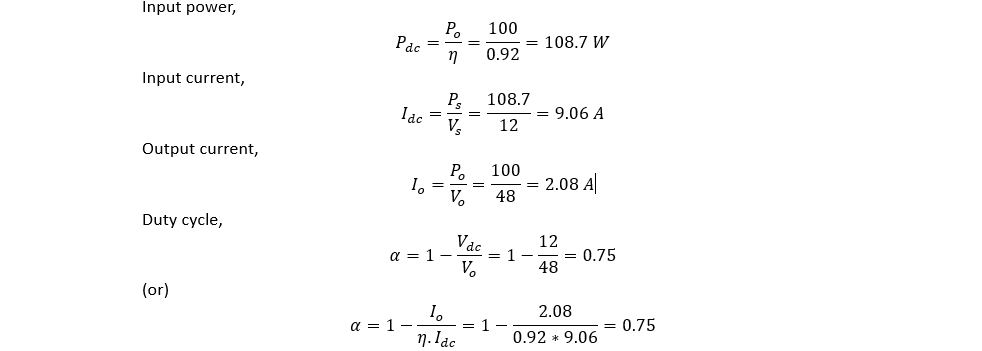
1. Input and output parameters

2. Current and voltage ripple

3. Inductance and Capacitance

4. Component Ratings

Leave a Reply