Boost Converter: Circuit & Operation

Boost means ‘Increasing’

Here we are increasing the voltage from input side to output side. Since output voltage is increasing at output, current increases relatively compared to input current.

i.e. Input voltage Output voltage

Input current  Output current

                         Definition: The converter which increases the input DC voltage is called boost converter or step-up converter

The arrangement of power electronic semiconductor components such as switch (, diode , inductor , and capacitor  for boost operation is shown below figure.

Basic Possible KVL and KCL for voltages and currents respectively from above circuit are as follows

To produce the required step-up output voltage from input voltage, pulse-width modulation (PWM) control technique is being used.

To step-up the DC input voltage, the element which can be controlled is switch (S) by turning ON and OFF through gate pulse. Hence, the operation of converter is divided into 2 modes.

Switch (S) ON mode

When switch is closed, it gives path to flow the input current through inductor.

Due to switch is closed/shorted, supply negative terminal connects at diode (D) anode through switch.

Therefore,  => Diode (D) is reverse biased and does not conduct. Acts like open circuit.

The inductor current starts raising from zero due to positive inductor voltage ( when switch is closed (initially).  

The energy stored in output capacitor in previous mode (i.e. next mode) discharges through load. When voltage drop across load reaches its designed value, switch will open for next mode.

Switch (S) OFF mode

When switch is open, it does not give path to flow the current through it.

When the voltage drop across load reaches its maximum desired value, switch will open. Then, current through inductor starts discharge/fall due to negative inductor voltage

Therefore,  => Diode (D) is forward biased and does conduct. Acts like short circuit.

Capacitor stores the energy in this cycle. Due to falling in inductor current, the voltage drop across load starts fall. Switch will close again at minimum desired voltage drop across load (end of this mode). The current path in this mode is shown below figure.

Voltage across inductor from circuit,

Current through inductor,

Switch turn-off period is part of one switching cycle  i.e. . Hence,

The operation of boost converter in simple words,

Switch ONSwitch OFF
Switch conductsDiode conducts
Inductor chargesInductor discharges
Capacitor dischargesCapacitor charges

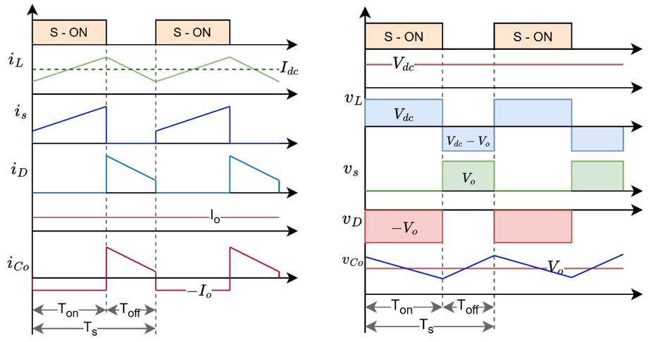
The graphical representation of voltage across and current through circuit elements are shown below

Comments

Leave a Reply

Your email address will not be published. Required fields are marked *